A cross-section study of the normative data of the side-to-side soleus Hoffmann reflex from the calf muscle in healthy individuals in the lying down position.

Neurophysiological Bases of Human Movement (King's College London, UK) (2023) Proc Physiol Soc 55, C20

Poster Communications: A cross-section study of the normative data of the side-to-side soleus Hoffmann reflex from the calf muscle in healthy individuals in the lying down position.

Sunil Chouhan1, Akriti Gupta1, Ruchi Singh1, varun Malhotra1, Ragini Shrivastava1,

1All India Institute of Medical Sciences Bhopal(M.P.) India, 2Atal Bihari Vajpayee Government Medical College Vidisha India,

View other abstracts by:


Introduction: To obtain an H-reflex response, impulses enter the motor neuron reservoir (alpha-motor neurons) (Schieppati M. et al., 1987). This reflex is used to determine the excitability of the spinal reflex (Kimura J. et al., 1984). We have taken the normative data of M-Latency, H-Latency, M-Amplitude, H-Amplitude, and H/M Ratio in the left and right legs, respectively, so that it can be compared in disease states like cerebral spastic hemiparesis, polyneuropathy, and nerve root damage (S1, C6, C7).

Objective: The goal of this study was to determine what a normal H-reflex is in a group of healthy adults based on measurements taken from the calf muscle.

Material and method

Subjects: The research included 119 healthy male volunteers aged 30.40 years (mean SD: 6.78 years), height 173.11 ± 4.98 cm, with no background or clinical proof of peripheral or central nervous system illness (Table 1).

Method: The subjects were instructed to lie face down with one leg bent to one side (the Sims posture), with the angles of the knee and ankle being approximately 154°–164° and 95°–105°, respectively. The limb position was slightly modified (semi-prone) to place the electrode according to Braddom and Johnson's approach( Braddom and Johnson, 1974). In the soleus muscle, the recording surface electrode was placed 2 cm distally to the medial gastrocnemius, and the reference electrode was placed at the location of the Achilles tendon insertion. A ground electrode was mounted between the active and reference electrodes (Figure 1). The H-reflex test was performed with stimulation of the posterior tibial nerve in the popliteal fossa (mid-popliteal crease) while maintaining the anode distally. All participants signed an informed consent form before the examination, and the Institute research board and ethical committee (IMO 320) approved this research.

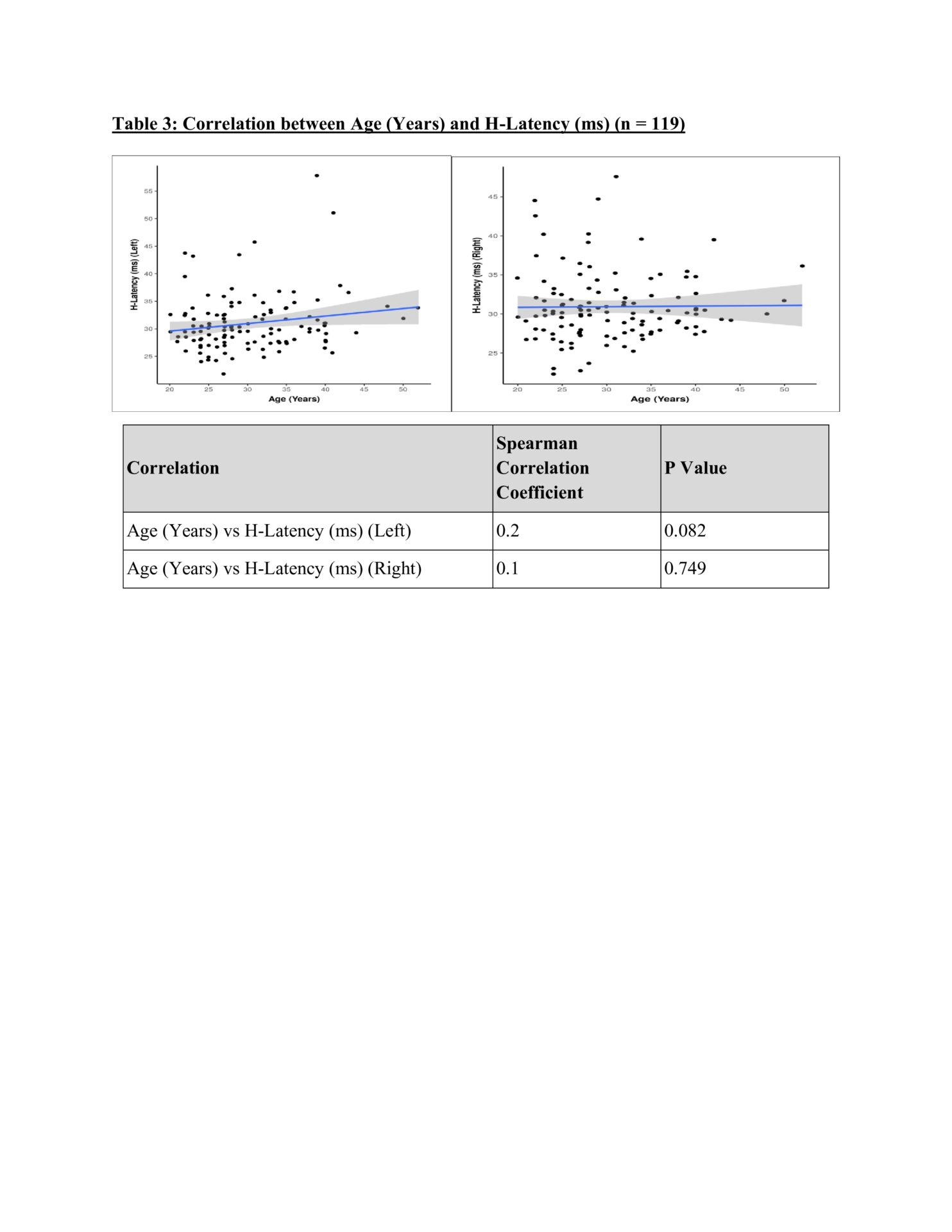
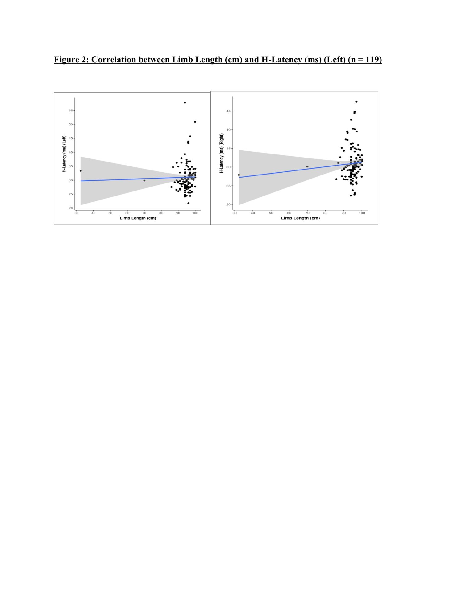
Results: 111 participants (93.3%) were 40 or younger, with the mean age (in years) being 30.40 ± 6.78. The average weight (kg), height (cm), and limb length (cm) were 173.11 cm, 10.48 cm, and 94.28 cm, respectively (Table 1). The mean latencies of the H reflex were (SD = 30.93 ± 4.42) and (SD = 31.01 ± 5.21 ) milliseconds in the right and left legs, respectively (Table 2). Leg length and H reflex latency were significantly correlated (r = 0.55, P 0.05) (Figure 3). There was no discernible correlation between age and the H reflex latency (Table 3).

Conclusion: The results of this study mostly agree with other studies (Fisher MA et al., 1992). (Jankus WR et al., 1994) A positive relationship was found between H-latency and patient height, which aligns with many other studies. The variables age group, weight, H-amplitude (left and right), and H-latency (right) were all significantly associated (p =.05) with the variable "H-latency" (mV). (Table3) Future research in other age groups and grading of the reflex in terms of mild, moderate, and severe will look at how these findings may be compared to the disease state for the management of the patients.

 

 



Where applicable, experiments conform with Society ethical requirements.

Site search

Filter

Content Type