Electrophysiological demonstration of an osmotically sensitive Na+-Ca2+ exchanger in bovine articular chondrocytes

University of Nottingham (2004) J Physiol 558P, C1

Communications: Electrophysiological demonstration of an osmotically sensitive Na+-Ca2+ exchanger in bovine articular chondrocytes

Browning,Joseph ; Sanchez,Julio ; Powell,Trevor ; Wilkins,Robert ;

1. University Laboratory of Physiology, Oxford University, Oxford, United Kingdom.

View other abstracts by:


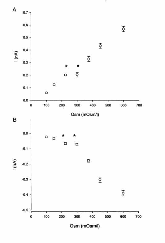
Articular cartilage, which protects long bones at articulating joints, comprises an extracellular matrix (ECM) which is maintained by chondrocytes, the sole cell type resident in the tissue. The absence of articular cartilage results in osteoarthritis and there is, therefore, clinical significance in understanding the mechanical mechanisms which determine cartilage turnover. Physicochemical factors associated with joint loading, for example changes to extracellular osmolarity, determine ECM turnover by chondrocytes (Urban et al., 1993). In this way, healthy cartilage is remodelled such that it can withstand prevailing stresses. In previous work we have shown that chondrocyte membrane transport mechanisms, notably those determining intracellular Ca2+ ([Ca2+]i), can operate as mechanotransduction pathways through their effects on intracellular composition. Chondrocyte [Ca2+]i is regulated in part by sodium-calcium exchange (NCE; Ponte and Hall, 1994). In the present study, the activity of NCE in bovine articular chondrocytes has been measured using standard electrophysiological techniques and its sensitivity to extracellular osmolarity determined. Data are presented as mean ± SEM, n ≧ 3. Articular cartilage was obtained from the metacarpophalangeal joints of steers slaughtered at abbatoir and chondrocytes were isolated by collagenase digestion. NCE activity was assessed at room temperature by measuring the NCE mediated current (INCE) recorded in whole-cell configuration (Convery and Hancox, 1999). Measurements obtained using a descending ramp protocol (from +80mV to -120mV, holding potential -40mV) demonstrated the existence of INCE which could be completely inhibited by Ni2+ (5mM). Furthermore, INCE could be partially inhibited by benzamil (500 μM) and KBR4973 (50 mM). INCE was recorded in cells bathed in solutions of differing osmolarity (Figure 1). Increases in external osmolarity resulted in a rise of both outward and inward net currents in comparison with control (300 mOsm l-1) whereas reductions in osmolarity of greater than 50% evoked a fall in the magnitude of both outward and inward currents. In both cases, the changes in net current were not apparent in cells treated with Ni2+ (5mM; data not shown). This study is the first direct demonstration of osmotically sensitive INCE in articular chondrocytes and implicates this transporter in the mechanotransduction processes occurring in these cells.


Figure 1. The effect of extracellular osmolarity on NCE current. Osmolarity was changed by the addition of mannitol. n ? 4 in each case. NCE current was measured at +80 mV (A) and -120 mV (B).


Where applicable, experiments conform with Society ethical requirements.

Site search

Filter

Content Type