Superior neuromuscular recovery during high-intensity resistance exercise using five-minute versus two-minute rest intervals between sets.

Neurophysiological Bases of Human Movement 2025 (King’s College London, UK) (2025) Proc Physiol Soc 67, C07

Oral Communications: Superior neuromuscular recovery during high-intensity resistance exercise using five-minute versus two-minute rest intervals between sets.

Amy Neeson1, Rui Wu2, Jeremy Liegey2, Rodney Kennedy1, Conor McClean1, Gerard McMahon1

1Ulster University United Kingdom, 2University College Dublin Ireland

View other abstracts by:


Introduction: It is well established that manipulating rest intervals (RIs) between sets can affect acute performance of resistance exercise (RE) such as training volume and intensity (Grgic et al., 2017), which can modulate development of muscular characteristics such as hypertrophy, strength and power. Previous research has highlighted maintenance of greater torque, muscle activity, and volume over multiple sets with five-minute RIs compared to two-minutes (McMahon et al., 2024). However, it has never been shown how RIs modulate specific neuromuscular strategies during RE. This study aims to investigate how neuromuscular behaviour is impacted by a moderate and longer RI duration using high-density electromyography (HDEMG).

Methods: Ten (n=10) participants (male; 29 ± 5 years; 12 ± 6 years RE experience) completed two randomly assigned acute bouts of RE; four-sets of five-second isometric knee extensions to failure at 80% maximal voluntary isometric contractions (MVIC) with two-minute (REST-2) or five-minute (REST-5) RIs.Participants had ≥4-days’ rest between sessions. Neuromuscular characteristics were measured using HD-EMG (Quattrocentro EMG, Bio Elettronica) on the vastus lateralis. Muscle fibre conduction velocity (MFCV) was measured during MVICs pre-, 0-MINS-POST-, 5-MINS-POST-, and 10-MINS-POST-exercise. Recruitment threshold (relative to MVIC), firing rates (PPS Mean), coefficient of variation of inter spike interval (CVISI), and motor unit conduction velocity (MUCV) were measured during RAMP contractions at 20%MVIC (increasing 5%MVIC per second until 20% [RAMP-Up] and holding for 10-seconds [RAMP Plateau]) pre-exercise, at the end of RIs between sets, 0-MINS-POST-, 5-MINS-POST-, and 10-MINS-POST-exercise. A linear mixed model was used to examine the effects of rest interval and time on EMG variables.

Results:

MVICs

MFCV, there were no effects (p>0.05).

RAMPs

Recruitment threshold showed a main effect for time (p<0.05) but not rest, nor rest × time interaction

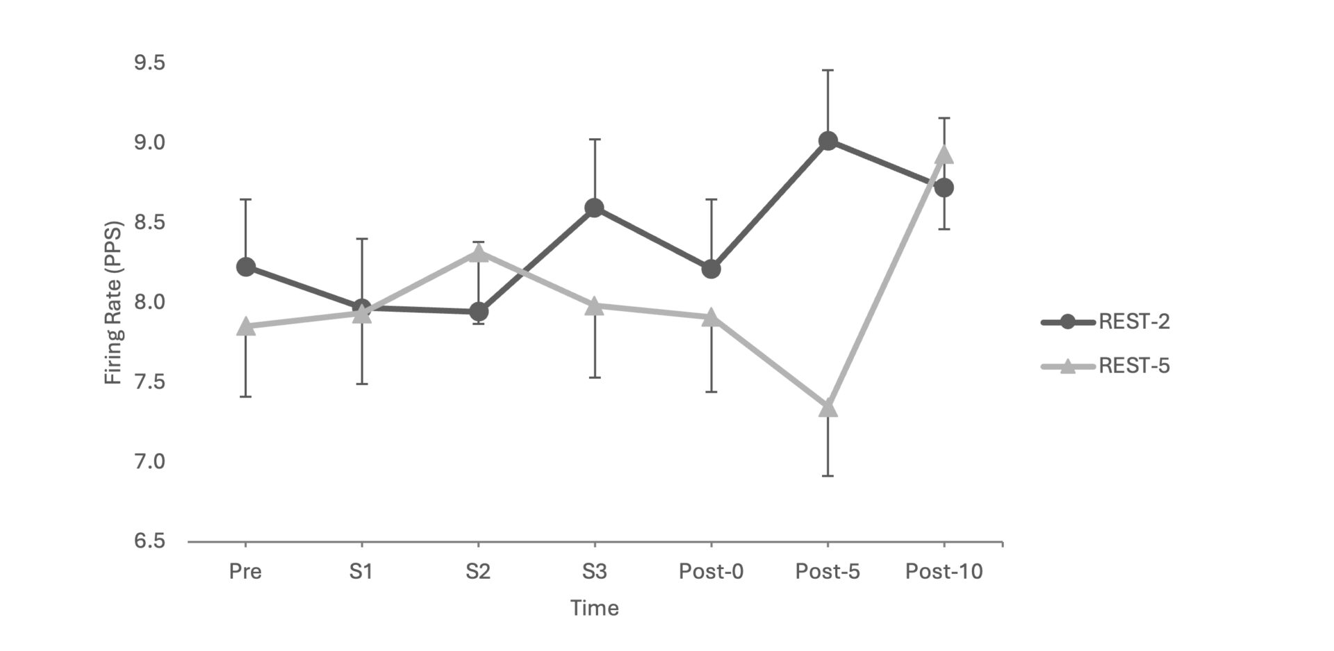
During RAMP-Up, mean firing rates showed a main effect for rest, time, and rest × time interaction (p<0.05) with REST-2 significantly higher than REST-5(Figure 2). For CVISI, there was a main effect for rest (p<0.05).

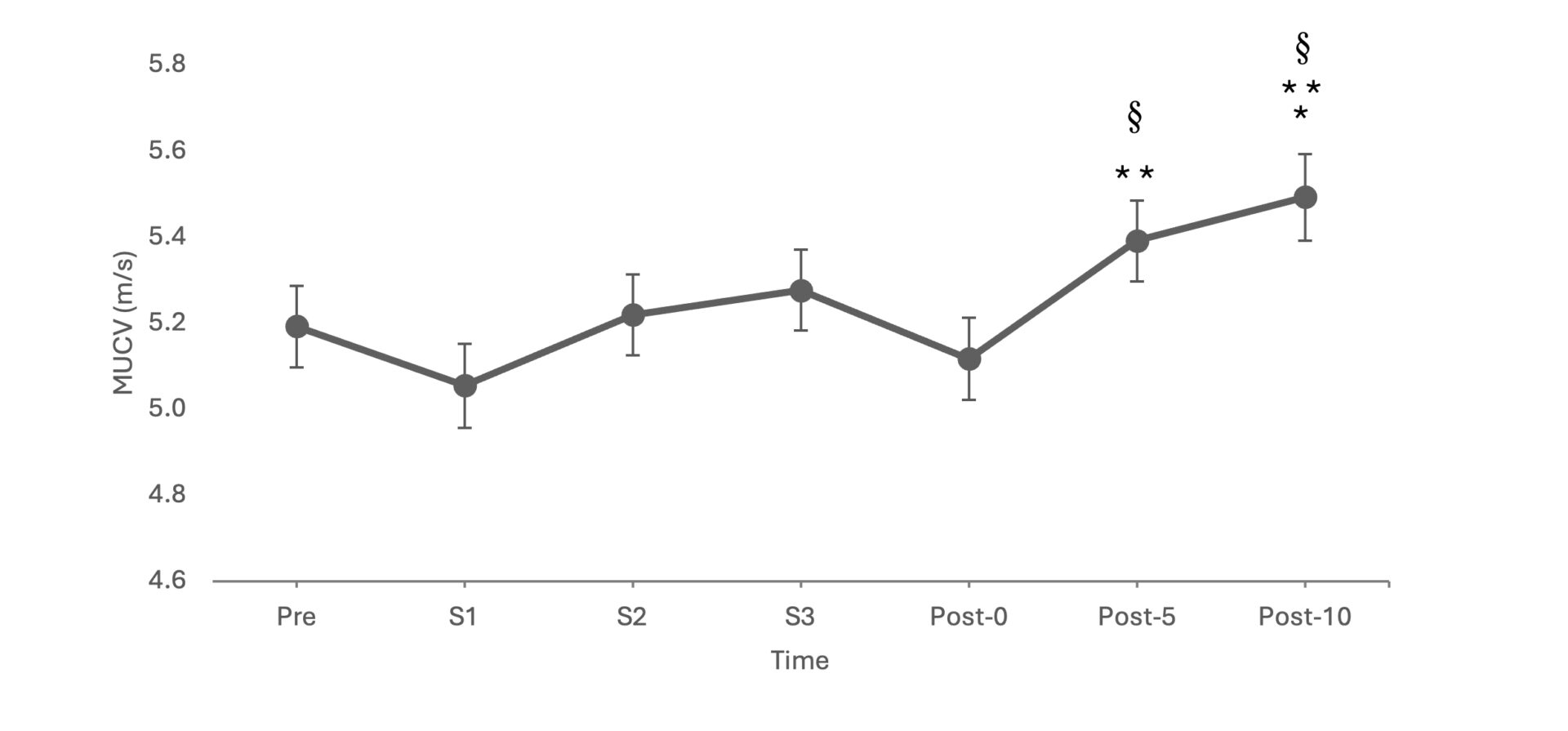
During RAMP-Plateau, mean firing rates showed a main effect for rest and rest × time interaction (p<0.05) REST-2 significantly higher than REST-5 (figure 3). There were no effects for CVISI. For MUCV, there was a main effect for time (p<0.05) (Figure 4), but not rest or rest × time interaction. For MUCV correlation coefficient, there were no effects (p>0.05).

Conclusion: The current findings suggest that five-minute RIs facilitate superior neuromuscular performance compared to two-minutes. The greater firing rates suggests the central nervous system compensating for greater residual fatigue to maintain force output for two-minute RIs. In contrast, lower firing rates shown for five-minute RIs indicate superior recovery going into subsequent sets, and throughout the recovery period.



Where applicable, experiments conform with Society ethical requirements.

Site search

Filter

Content Type