Whole-body and skeletal muscle metabolic responses to galactose feeding at rest and after exercise

Dietary Manipulations for Health and in the Prevention and Management of Disease 2026 (Manchester Metropolitan University, UK) (2026) Proc Physiol Soc 68, C16

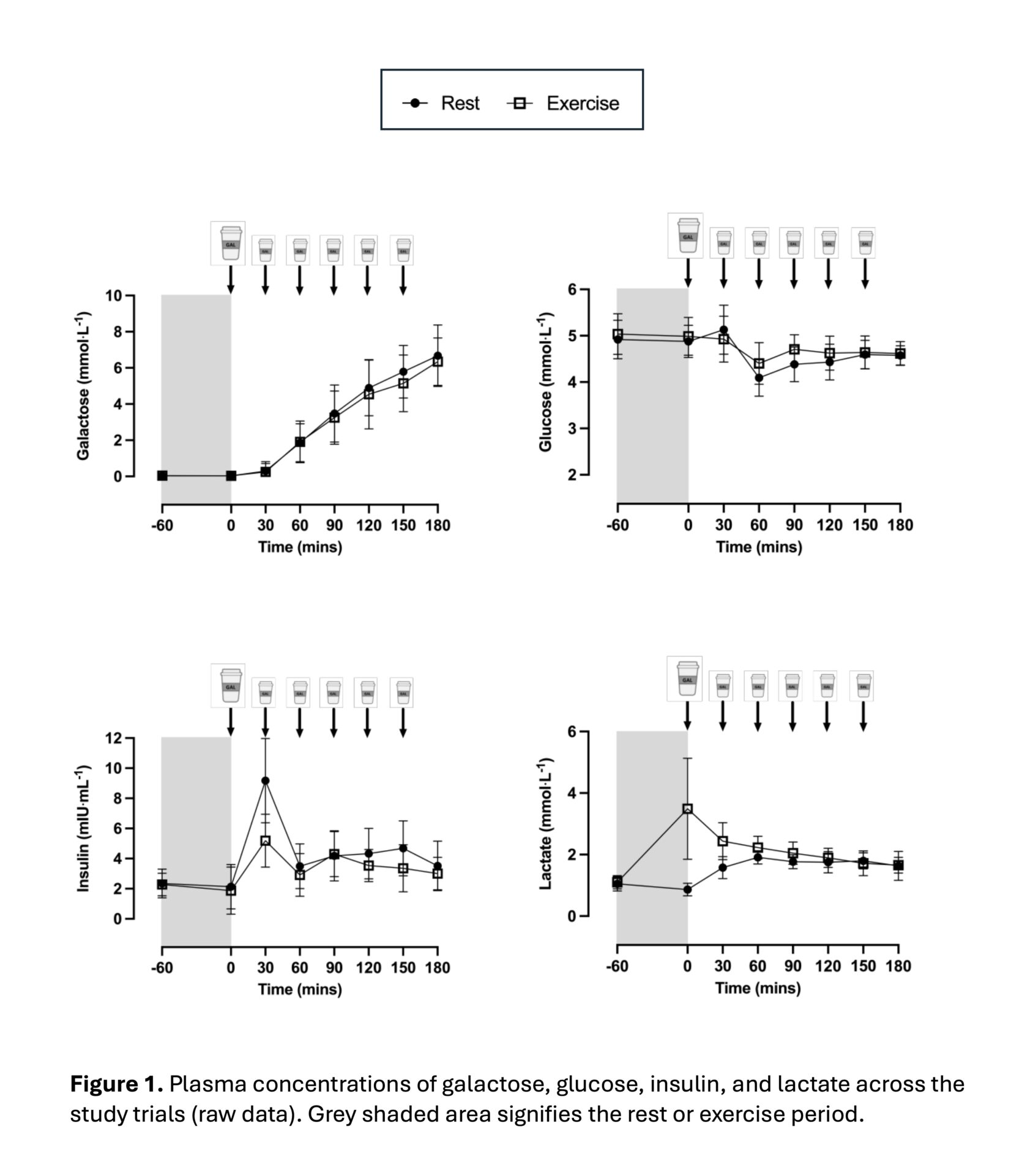
Poster Communications: Whole-body and skeletal muscle metabolic responses to galactose feeding at rest and after exercise

Rita Civil1, Joel E. Thomas1, Tim Podlogar2, Lucy M. Rogers1, Rakel F. Johansen3, Lars Christian Gormsen4, Esben Søndergaard3, David S. Rowlands5, Gareth A. Wallis<

1School of Sport, Exercise and Rehabilitation Sciences, University of Birmingham United Kingdom, 2Department of Public Health and Sport Sciences, University of Exeter United Kingdom, 3Department of Clinical Medicine, Steno Diabetes Center Aarhus Denmark, 4Department of Nuclear Medicine and PET Centre, Aarhus University Hospital Denmark, 5School of Sport, Exercise and Nutrition, Massey University New Zealand

View other abstracts by:


Introduction:

Galactose is primarily metabolised in the liver by Leloir Pathway enzymes. The presence of these enzymes in human skeletal muscle suggests it could be a site for galactose metabolism. Recently, galactose feeding after exercise was shown to appreciably replenish glycogen stores (Podlogar et al., 2023). However, understanding of the metabolic response to galactose feeding in the context of exercise and skeletal muscle metabolism remains limited.

 

Aim:

To explore whole-body and skeletal muscle metabolic responses to galactose feeding at rest and after exercise.

 

Methods:

Ethical approval was obtained from an NHS Research Ethics Committee (24/EM/0067). Participants (N=8) were healthy, active adults (2 females/6 males, age 25±6 years, height 177.6±10.0 cm, body mass 69.2±11.9 kg, V̇O2peak 53.2±8.6 mL·kg-1·min-1). In a randomised crossover design, participants completed two experimental trials (overnight-fasted, 24-hour standardised diet and physical activity) starting with 60 minutes of rest or interval cycling exercise (4x 90-sec at 110% Wmax interspersed with 11 min at 30-50% Wmax) and then continued resting while consuming 2.25 g·kg-1 of galactose throughout a 3-hour period. Blood samples were collected before (-60 min) and immediately after (0 min) rest/exercise, and following galactose ingestion at 30, 60, 90, 120, 150, 180 min to determine plasma galactose, glucose, lactate and insulin concentrations. Skeletal muscle biopsy samples were obtained from the vastus lateralis at timepoints -60, 60, and 180 min to determine glycogen concentrations and gene expression of PPARGC1A, Leloir Pathway enzymes (GALM, GALK1, GALT, GALE) and other galactose disposal pathways (UGP2, PGM1, AKR1B1).

 

Statistical analyses were conducted using linear mixed models in SAS accounting for baseline and repeated-measures random effects (Kenward & Roger, 2010). All data were log-transformed to manage heteroscedasticity. Estimates were back-transformed to percent effects and 95% confidence intervals.

 

Results:

Plasma galactose concentrations increased over time after galactose ingestion equally with rest and exercise conditions (both P<0.001, Figure 1). Glucose concentrations decreased over time with rest (P=0.017, Figure 1) and exercise (P=0.030). Lactate concentrations increased over time with both conditions (both P<0.001, Figure 1). Post-hoc analyses showed higher lactate with exercise at 0 min and 30 min compared to rest (both P<0.001). Insulin levels did not change from 0 to 180 min with either condition (P>0.050, Figure 1), but post-hoc analyses showed decreased insulin concentrations with exercise at 0 min (P=0.037), 30 min (P<0.001), and 150 min (P=0.006) compared to rest.

 

Baseline glycogen concentrations were 363 [308, 429] mmol·kg-1 dry weight. Glycogen levels decreased at 60 min (-50% [-69, -19]%, P=0.012) and 180 min (-44% [-51, -35]%, P<0.001) with exercise compared to rest. Gene expression of enzymes GALM, GALT, GALE, UGP2 PGM1 decreased at 60 min with rest, whilst GALM, GALE, AKR1B1 expression decreased at 180 min with exercise (Figure 2).

 

Conclusions:

Galactose feeding increased circulating galactose and lactate levels across time, produced a peak in insulin levels 30 min after feeding started, and temporarily (60 min) decreased skeletal muscle gene expression of some enzymes. These responses were modulated by prior exercise with decreased muscle glycogen levels, smaller insulin peak, and delayed (180 min) decrease in gene expression for some enzymes.



Where applicable, experiments conform with Society ethical requirements.

Site search

Filter

Content Type